Un viaje al pasado
¿Quién quiere viajar en el tiempo? Observar el ajetreo cerca de la Bastilla, escuchar de viva voz a Lope de Vega o barrer los pasillos de la Alhambra cuando aún era roja; ser César Augusto, un mercader de ánforas cananeo, carcajear con las ocurrencias de Sócrates, cruzar el río con Parménides o rendir tributos al Rey de Kish.
Es fácil: solo hay que usar el índice y el pulgar, llevar una aceituna a la boca y saborearla exactamente igual que lo hicieron ellos.
Comemos aceitunas desde hace más de 6.000 años [1] y, cada vez que lo hacemos, repetimos uno de los rituales más antiguos e invariables de la historia de la humanidad. Pocos alimentos pueden presumir de acompañarnos durante milenios y seguir plenamente vigentes, prácticamente sin modificaciones.
La aceituna de mesa es uno de ellos. Ha trascendido la categoría de simple aperitivo para convertirse en un auténtico símbolo cultural: sofisticada en su sencillez, profundamente ligada al paisaje mediterráneo y cada vez más reconocida por la ciencia como un alimento funcional.
Hoy sabemos que su valor no es solo gastronómico. Es nutricional, microbiológico y también ambiental.
El fruto del olivo y su amargura protectora
La aceituna es el fruto del olivo, un árbol procedente del Asia Menor que se extendió por la cuenca mediterránea posiblemente gracias a los pueblos del mar, provenientes de la actual Palestina. El clima mediterráneo ofrece el equilibrio perfecto entre inviernos suaves y veranos secos que el olivo necesita.
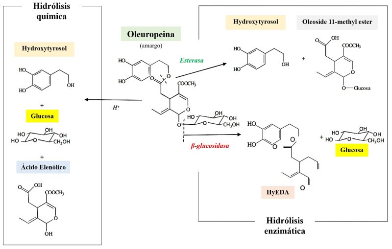
Pero, salvo muy raras excepciones, la aceituna no es comestible recién recolectada del árbol [2]. Su excesivo amargor lo impide. El responsable es la oleuropeína, un compuesto fenólico que actúa como un auténtico superhéroe en la defensa del fruto [3]: forma parte del sistema inmunitario químico del olivo frente a infecciones, funciona como escudo molecular frente a la oxidación natural y desincentiva a consumidores ansiosos a comer el fruto antes de su maduración.
Hambre, sal y serendipia

Pero ¡ay el hambre, qué gran potenciador natural del ingenio!
Más aún cuando la serendipia y el gran Mar Mediterráneo se hallan cerca y en común acuerdo.
En algún momento de nuestra historia, el ser humano descubrió el poder de la sal como elemento deshidratador y conservante. En algún momento, este fruto verde del olivo se sumergió en una salmuera primigenia —quizá agua de mar—, tal vez con la intención de molerlo más adelante, pues su aceite ya se conocía y utilizaba ampliamente.
Tras los días, en la oscuridad de una cueva, puede que por hambre o curiosidad, por una apuesta o por puro azar, una de esas aceitunas acabó en la boca de un ser humano.
El resto es Historia.
Un alimento global con acento español
La producción mundial de aceitunas de mesa supera los 3,3 millones de toneladas [4]. Entre los grandes productores destacan la Unión Europea, Egipto y Turquía, seguidos por Argelia y Marruecos.
España es líder indiscutible, con casi el 20 % de la producción mundial y como mayor exportador, concentrando en Andalucía —y especialmente en Sevilla y Córdoba— el 98 % de toda su producción de aceituna de mesa.
Y la demanda sigue creciendo, a medida que el consumidor es cada vez más consciente de la relación entre alimentación y salud.
Cómo se “endulza” una aceituna
Desde aquel día fundacional, hace miles de años, se han desarrollado tres métodos principales para “endulzar” la aceituna recolectada, es decir, para transformar la oleuropeína y eliminar el amargor:
- Método español o estilo sevillano, basado en un tratamiento con hidróxido sódico (NaOH), lavado y posterior fermentación.
- Método californiano u oxidativo, similar al español pero con un tratamiento oxidativo posterior para ennegrecer artificialmente las aceitunas.
- Método griego, natural o fermentativo, basado exclusivamente en la fermentación.
Aunque el estilo sevillano es el método dominante en el comercio internacional —por ser el más tecnológico y garantizar uniformidad y seguridad microbiológica—, requiere gestionar grandes volúmenes de aguas residuales alcalinas, con alta carga orgánica, salinidad y compuestos fenólicos, considerados un problema ambiental relevante. Algunos estudios advierten incluso del riesgo de contaminación de acuíferos y otros impactos asociados a estos efluentes.

Volver al origen: la fermentación natural
Por ello, en Tierra y Libertad hemos vuelto al origen y endulzamos nuestras aceitunas mediante fermentación natural, un proceso que se acerca al ritmo propio del fruto. Reducimos al mínimo el impacto ambiental del desamargado, combinando saber ancestral y conocimiento tecnológico.
Cuando fermentamos, ocurre algo extraordinario: el fruto se convierte en un soporte ideal para microorganismos beneficiosos. Las aceitunas pasan a ser una matriz idónea para la supervivencia de compuestos funcionales, gracias a los nutrientes liberados y a la superficie del fruto, que favorece la adhesión microbiana.
Durante la fermentación [2], las bacterias ácido-lácticas presentes en la piel de las aceitunas tras su recolección comienzan a descomponer la oleuropeína, transformándola en azúcares que consumen durante su metabolismo. No actúan solas: la propia aceituna transforma esta molécula amarga gracias a la acción de enzimas endógenas —principalmente la esterasa y la beta-glucosidasa—.
Esta acción fermentativa provoca dos efectos fundamentales:
por un lado, una caída del pH [5] que protege tanto a las aceitunas como a sus consumidores frente a bacterias indeseables; por otro, la generación de compuestos con reconocidos efectos saludables [2], como:
- Hidroxitirosol, con alta capacidad antioxidante y antiinflamatoria.
- Ácido elenólico, asociado al fortalecimiento del sistema inmunológico.
- Oleósido 11-metil éster, con propiedades antiinflamatorias y antioxidantes.
Aceitunas vivas, nutrición real

Nuestras aceitunas de mesa no se pasteurizan ni se calientan. Conservan bacterias y levaduras vivas y no degradan las moléculas beneficiosas. Desde una perspectiva digestiva e inmunológica, pueden contribuir al equilibrio de la microbiota y al fortalecimiento del sistema inmunitario.
Elegir procesos menos intervencionistas no es solo una cuestión de sabor: es apostar por densidad nutricional.
Además, las aceitunas concentran muchas de las virtudes del aceite que procede de ellas. Hasta el 70 % de su grasa es ácido oleico, asociado a la reducción del colesterol LDL y los triglicéridos, al aumento del HDL y con un papel conocido como inmunorregulador. A ello se suma su aporte en vitamina E y fibra.
No es exagerado afirmar que, desde el punto de vista nutricional, una pequeña ración de aceitunas puede equivaler —en grasas saludables y antioxidantes— a una cucharada de aceite de oliva virgen.
Tradición, emoción y futuro

Del desalado tras la fermentación y su posterior aliño hablaremos otro día, así como de los efectos saludables del ajo, romero, tomillo, orégano, hinojo, eneldo, pimentón o laurel; de sus propiedades y de su capacidad para emocionar, elevar, evocar y transportar a lugares y momentos que siempre caminan de la mano de la amistad, de la alegría o del buen vivir.
Pequeñas esferas de felicidad que siguen siendo uno de los alimentos fermentados más populares del Mediterráneo, y cuya producción continúa creciendo a nivel mundial. Lo fascinante es que, pese a toda la tecnología disponible, el fundamento de su elaboración sigue siendo el mismo que hace milenios. Y su forma de consumirlas, también.
Quizá por eso cada aceituna cuenta una pequeña historia de adaptación humana: de paciencia, de observación y de cultura. Un recordatorio de que algunos de los grandes logros de la alimentación nacieron mucho antes de que existiera la palabra innovación.
Rica en grasas saludables, antioxidantes y microorganismos beneficiosos cuando se fermenta de forma natural, la aceituna es un ejemplo de cómo tradición y ciencia pueden avanzar juntas.
En un mundo asediado por lo ultraprocesado, la aceituna ecológica fermentada nos recuerda algo esencial:
el verdadero lujo alimentario no es lo complejo, sino lo auténtico.
Bibliografía
- https://doi.org/10.1038/s41598-020-80772-6
- https://doi.org/10.3390/foods9070948
- https://doi.org/10.1039/D5FO03331D
- https://www.internationaloliveoil.org/olive-sector-statistics-december-2025-and-forecasts
- https://doi.org/10.3390/foods9070948
Más sobre este tema
Suscríbete a nuestro boletín informativo
Publicamos periódicamente historias sobre el trabajo de nuestros miembros y la historia de la agricultura en España. Si quieres conocer más historias, suscríbete a nuestro boletín informativo.
Antes de hacerlo, lee por favor nuestra política de privacidad.


