A journey into the past
Who wants to travel through time? Observe the hustle and bustle near the Bastille, listen to Lope de Vega speak in person, or sweep the corridors of the Alhambra when it was still red; be Caesar Augustus, a Canaanite amphora merchant, laugh at Socrates’ witticisms, cross the river with Parmenides, or pay tribute to the King of Kish.
It’s easy: just use your index finger and thumb, pop an olive into your mouth and savour it exactly as they did.
We have been eating olives for over 6,000 years [1] and, every time we do so, we repeat one of the oldest and most unchanging rituals in human history. Few foods can boast of having accompanied us for millennia and remaining fully relevant, practically unchanged.
The table olive is one of them. It has transcended the category of a simple appetiser to become a true cultural symbol: sophisticated in its simplicity, deeply linked to the Mediterranean landscape and increasingly recognised by science as a functional food.
Today we know that its value is not only gastronomic. It is nutritional, microbiological and also environmental.
The fruit of the olive tree and its protective bitterness
The olive is the fruit of the olive tree, a tree native to Asia Minor that spread throughout the Mediterranean basin, possibly thanks to the Sea Peoples, who came from what is now Palestine. The Mediterranean climate offers the perfect balance of mild winters and dry summers that the olive tree needs.
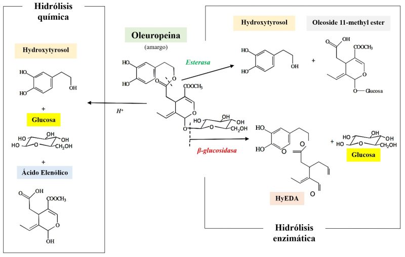
However, with very few exceptions, olives are not edible when freshly picked from the tree [2]. Their excessive bitterness prevents this. The culprit is oleuropein, a phenolic compound that acts as a true superhero in defending the fruit [3]: it forms part of the olive tree’s chemical immune system against infections, functions as a molecular shield against natural oxidation, and discourages eager consumers from eating the fruit before it ripens.
Hunger, salt and serendipity

But hunger, what a great natural enhancer of ingenuity!
Even more so when serendipity and the great Mediterranean Sea are close by and in agreement.
At some point in our history, humans discovered the power of salt as a dehydrating and preserving agent. At some point, this green fruit of the olive tree was immersed in a primitive brine—perhaps seawater—perhaps with the intention of grinding it later, as its oil was already known and widely used.
After several days, in the darkness of a cave, perhaps out of hunger or curiosity, on a dare or by pure chance, one of those olives ended up in a human being’s mouth.
The rest is history.
A global food with a Spanish accent
World production of table olives exceeds 3.3 million tonnes [4]. The major producers are the European Union, Egypt and Turkey, followed by Algeria and Morocco.
Spain is the undisputed leader, accounting for almost 20% of global production and as the largest exporter, with 98% of all its table olive production concentrated in Andalusia, particularly in Seville and Córdoba.
And demand continues to grow as consumers become increasingly aware of the relationship between food and health.
How an olive is ‘sweetened’
Since that founding day thousands of years ago, three main methods have been developed to ‘sweeten’ the harvested olives, that is, to transform oleuropein and eliminate bitterness:
- The Spanish method or Sevillian style, based on treatment with sodium hydroxide (NaOH), washing and subsequent fermentation.
- The Californian or oxidative method, similar to the Spanish method but with subsequent oxidative treatment to artificially blacken the olives.
- The Greek method, natural or fermentative, based exclusively on fermentation.
Although the Seville style is the dominant method in international trade—as it is the most technological and guarantees uniformity and microbiological safety—it requires the management of large volumes of alkaline wastewater with a high organic load, salinity and phenolic compounds, which are considered a significant environmental problem. Some studies even warn of the risk of aquifer contamination and other impacts associated with these effluents.

Back to basics: natural fermentation
That is why at Tierra y Libertad we have gone back to basics and sweeten our olives through natural fermentation, a process that follows the fruit’s own rhythm. We minimise the environmental impact of debittering by combining ancestral knowledge and technological expertise.
When we ferment, something extraordinary happens: the fruit becomes an ideal medium for beneficial microorganisms. The olives become an ideal matrix for the survival of functional compounds, thanks to the nutrients released and the surface of the fruit, which promotes microbial adhesion.
During fermentation [2], the lactic acid bacteria present on the skin of the olives after harvesting begin to break down oleuropein, transforming it into sugars that they consume during their metabolism. They do not act alone: the olive itself transforms this bitter molecule thanks to the action of endogenous enzymes, mainly esterase and beta-glucosidase.
This fermentation process has two fundamental effects:
on the one hand, a drop in pH [5] that protects both the olives and their consumers from undesirable bacteria; on the other, the generation of compounds with recognised health benefits [2], such as:
- Hydroxytyrosol, with high antioxidant and anti-inflammatory properties.
- Elenolic acid, associated with strengthening the immune system.
- Oleoside 11-methyl ester, with anti-inflammatory and antioxidant properties.
Live olives, real nutrition
Our table olives are not pasteurised or heated. They retain live bacteria and yeasts and do not degrade beneficial molecules. From a digestive and immunological perspective, they can contribute to the balance of the microbiota and the strengthening of the immune system.
Choosing less interventionist processes is not just a matter of taste: it is a commitment to nutritional density.
In addition, olives concentrate many of the virtues of the oil that comes from them. Up to 70% of their fat is oleic acid, associated with reducing LDL cholesterol and triglycerides, increasing HDL and playing a role known as immunoregulatory. Added to this is their vitamin E and fibre content.
It is no exaggeration to say that, from a nutritional point of view, a small portion of olives can be equivalent—in healthy fats and antioxidants—to a tablespoon of virgin olive oil.
Tradition, emotion and future

We will talk another day about desalting after fermentation and subsequent seasoning, as well as the health benefits of garlic, rosemary, thyme, oregano, fennel, dill, paprika and bay leaves; their properties and their ability to excite, uplift, evoke and transport us to places and moments that always go hand in hand with friendship, joy and good living.
These little spheres of happiness remain one of the most popular fermented foods in the Mediterranean, and their production continues to grow worldwide. What is fascinating is that, despite all the technology available, the basis of their production remains the same as it was thousands of years ago. And so does the way they are consumed.
Perhaps that is why each olive tells a little story of human adaptation: of patience, observation and culture. A reminder that some of the great achievements in food were born long before the word innovation existed.
Rich in healthy fats, antioxidants and beneficial microorganisms when fermented naturally, the olive is an example of how tradition and science can advance together.
In a world besieged by ultra-processed foods, the fermented organic olive reminds us of something essential:
true culinary luxury is not about complexity, but authenticity.
References:
https://doi.org/10.1038/s41598-020-80772-6
https://doi.org/10.3390/foods9070948
https://doi.org/10.1039/D5FO03331D
https://www.internationaloliveoil.org/olive-sector-statistics-december-2025-and-forecasts
https://doi.org/10.3390/foods9070948
Sign up to our Newsletter
We regularly post stories about the work of our members and the history of farming in Spain. If you would like to hear more of those stories, sign up to our email newsletter.
Before sending, please have a read of our privacy policy.


