Een reis naar het verleden
Wie wil er door de tijd reizen? De drukte bij de Bastille observeren, Lope de Vega zelf horen spreken of de gangen van het Alhambra vegen toen het nog rood was; Caesar Augustus zijn, een Kanaänitische handelaar in amforen, lachen om de grappen van Socrates, de rivier oversteken met Parmenides of eer betonen aan de koning van Kish.
Het is eenvoudig: je hoeft alleen maar je wijsvinger en duim te gebruiken, een olijf naar je mond te brengen en ervan te genieten, precies zoals zij dat deden.
We eten al meer dan 6000 jaar [1] olijven en elke keer dat we dat doen, herhalen we een van de oudste en meest onveranderlijke rituelen in de geschiedenis van de mensheid. Er zijn maar weinig voedingsmiddelen die al duizenden jaren lang bestaan en nog steeds volledig actueel zijn, vrijwel zonder veranderingen.
De tafelolijf is daar een voorbeeld van. Hij is uitgegroeid tot meer dan alleen een aperitiefhapje en is een echt cultureel symbool geworden: verfijnd in zijn eenvoud, nauw verbonden met het mediterrane landschap en door de wetenschap steeds meer erkend als een functioneel voedingsmiddel.
Tegenwoordig weten we dat zijn waarde niet alleen gastronomisch is. Hij is ook voedzaam, microbiologisch en milieuvriendelijk.
De vrucht van de olijfboom en zijn beschermende bitterheid
De olijf is de vrucht van de olijfboom, een boom afkomstig uit Klein-Azië die zich mogelijk dankzij de zeevolken uit het huidige Palestina over het Middellandse Zeegebied heeft verspreid. Het mediterrane klimaat biedt de perfecte balans tussen zachte winters en droge zomers die de olijfboom nodig heeft.
Maar op enkele uitzonderingen na is de olijf niet eetbaar wanneer hij net van de boom is geplukt [2]. De overmatige bitterheid maakt dit onmogelijk. De boosdoener is oleuropeïne, een fenolische verbinding die als een echte superheld optreedt bij de verdediging van de vrucht [3]: het maakt deel uit van het chemische immuunsysteem van de olijfboom tegen infecties, werkt als een moleculair schild tegen natuurlijke oxidatie en ontmoedigt ongeduldige consumenten om de vrucht te eten voordat deze rijp is.
Honger, zout en serendipiteit

Maar ach, honger, wat een geweldige natuurlijke stimulans voor vindingrijkheid!
Zeker wanneer serendipiteit en de grote Middellandse Zee dichtbij zijn en op één lijn zitten.
Op een bepaald moment in onze geschiedenis ontdekte de mens de kracht van zout als uitdrogend en conserverend middel. Op een gegeven moment werd deze groene vrucht van de olijfboom ondergedompeld in een primitieve pekel – misschien zeewater – misschien met de bedoeling om hem later te malen, want zijn olie was al bekend en werd op grote schaal gebruikt.
Na enkele dagen, in de duisternis van een grot, misschien uit honger of nieuwsgierigheid, door een weddenschap of puur toeval, belandde een van die olijven in de mond van een mens.
De rest is geschiedenis.
Een wereldwijd voedingsmiddel met een Spaans accent
De wereldwijde productie van tafelolijven bedraagt meer dan 3,3 miljoen ton [4]. Tot de grootste producenten behoren de Europese Unie, Egypte en Turkije, gevolgd door Algerije en Marokko.
Spanje is onbetwist marktleider, met bijna 20 % van de wereldwijde productie en als grootste exporteur, waarbij 98 % van de totale productie van tafelolijven geconcentreerd is in Andalusië, en dan vooral in Sevilla en Córdoba.
En de vraag blijft groeien, naarmate de consument zich steeds meer bewust wordt van het verband tussen voeding en gezondheid.
Hoe maak je een olijf ‘zoeter’?
Sinds die eerste dag, duizenden jaren geleden, zijn er drie belangrijke methoden ontwikkeld om de geoogste olijven ‘zoeter’ te maken, dat wil zeggen om de oleuropeïne om te zetten en de bitterheid te verwijderen:
- Spaanse methode of Sevillaanse stijl, gebaseerd op een behandeling met natriumhydroxide (NaOH), wassen en vervolgens fermenteren.
- Californische of oxidatieve methode, vergelijkbaar met de Spaanse methode, maar met een daaropvolgende oxidatieve behandeling om de olijven kunstmatig zwart te maken.
- Griekse methode, natuurlijke of fermentatieve methode, uitsluitend gebaseerd op fermentatie.
Hoewel de Sevilliaanse methode de dominante methode is in de internationale handel – omdat deze het meest technologisch is en uniformiteit en microbiologische veiligheid garandeert – vereist deze methode het beheer van grote hoeveelheden alkalisch afvalwater met een hoge organische belasting, zoutgehalte en fenolverbindingen, wat als een belangrijk milieuprobleem wordt beschouwd. Sommige studies waarschuwen zelfs voor het risico van verontreiniging van watervoerende lagen en andere effecten die verband houden met deze effluenten.

Terug naar de bron: natuurlijke fermentatie
Daarom zijn we bij Tierra y Libertad teruggekeerd naar de oorsprong en maken we onze olijven zoeter door middel van natuurlijke fermentatie, een proces dat aansluit bij het eigen ritme van de vrucht. We beperken de milieu-impact van het ontbitteren tot een minimum door eeuwenoude kennis te combineren met technologische knowhow.
Tijdens het fermenteren gebeurt er iets buitengewoons: de vrucht wordt een ideale voedingsbodem voor nuttige micro-organismen. De olijven worden een ideale matrix voor het overleven van functionele verbindingen, dankzij de vrijgekomen voedingsstoffen en het oppervlak van de vrucht, dat microbiële hechting bevordert.
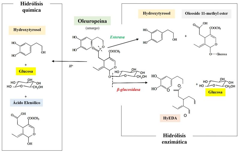
Tijdens de fermentatie [2] beginnen de melkzuurbacteriën die na de oogst op de schil van de olijven aanwezig zijn, oleuropeïne af te breken en om te zetten in suikers die ze tijdens hun metabolisme verbruiken. Ze werken niet alleen: de olijf zelf zet deze bittere molecule om dankzij de werking van endogene enzymen, voornamelijk esterase en bèta-glucosidase.
Deze fermentatie heeft twee belangrijke effecten:
enerzijds een daling van de pH [5], waardoor zowel de olijven als de consumenten worden beschermd tegen ongewenste bacteriën; anderzijds de vorming van verbindingen met erkende gezondheidsvoordelen [2], zoals:
- Hydroxytyrosol, met een hoge antioxidant- en ontstekingsremmende werking.
- Elenolzuur, dat wordt geassocieerd met een versterking van het immuunsysteem.
- Oleoside 11-methylester, met ontstekingsremmende en antioxiderende eigenschappen.
Levende olijven, echte voeding

Onze tafelolijven worden niet gepasteuriseerd of verwarmd. Ze bevatten levende bacteriën en gisten en breken de heilzame moleculen niet af. Vanuit digestief en immunologisch oogpunt kunnen ze bijdragen aan het evenwicht van de microbiota en de versterking van het immuunsysteem.
Kiezen voor minder ingrijpende processen is niet alleen een kwestie van smaak: het is ook een keuze voor voedingswaarde.
Bovendien bevatten olijven veel van de voordelen van de olie die ervan wordt gemaakt. Tot 70% van het vetgehalte bestaat uit oliezuur, dat wordt geassocieerd met een verlaging van LDL-cholesterol en triglyceriden, een verhoging van HDL en een rol als immuunregulator. Daar komt nog eens hun bijdrage aan vitamine E en vezels bij.
Het is niet overdreven om te stellen dat, vanuit voedingsoogpunt, een kleine portie olijven qua gezonde vetten en antioxidanten gelijk staat aan een eetlepel extra vierge olijfolie.
Traditie, emotie en toekomst

Over het ontzouten na de fermentatie en het vervolgens op smaak brengen zullen we het een andere keer hebben, evenals over de gezonde effecten van knoflook, rozemarijn, tijm, oregano, venkel, dille, paprika of laurier; over hun eigenschappen en hun vermogen om te prikkelen, te verheffen, op te roepen en mee te voeren naar plaatsen en momenten die altijd hand in hand gaan met vriendschap, vreugde of het goede leven.
Kleine bolletjes geluk die nog steeds een van de populairste gefermenteerde voedingsmiddelen van het Middellandse Zeegebied zijn en waarvan de productie wereldwijd blijft groeien. Het fascinerende is dat, ondanks alle beschikbare technologie, de basis van de bereiding nog steeds dezelfde is als duizenden jaren geleden. En de manier waarop ze worden geconsumeerd ook.
Misschien vertelt elke olijf daarom een klein verhaal over menselijke aanpassing: over geduld, observatie en cultuur. Een herinnering dat sommige van de grootste prestaties op het gebied van voeding al lang vóór het ontstaan van het woord innovatie tot stand kwamen.
Olijven zijn rijk aan gezonde vetten, antioxidanten en nuttige micro-organismen wanneer ze op natuurlijke wijze worden gefermenteerd, en zijn een voorbeeld van hoe traditie en wetenschap samen vooruitgang kunnen boeken.
In een wereld die wordt overspoeld door ultraverwerkte producten, herinnert de biologische gefermenteerde olijf ons aan iets essentieels:
echte luxe op het gebied van voedsel is niet complexiteit, maar authenticiteit.
Meer over dit onderwerp
Schrijf u in voor onze nieuwsbrief
We plaatsen regelmatig verhalen over het werk van onze leden en de geschiedenis van de landbouw in Spanje. Wil je meer van die verhalen horen? Meld je dan aan voor onze e-mailnieuwsbrief.
Lees voor verzending eerst ons privacybeleid door.


